Cattle Feed Mill Plant Project Case and Feed Safety Tips
Date: 06/18/2020 09:57:52 From: feed-pellet-plant.com Clicks:
1. 3-5T/H Ruminant Animal Feed Pellet Line Export To Indonesia
Name: Ruminant Feed Pellet Line
Country: Indonesia
Capacity: 3-5T/H
Date: April 9th,2018
Installation cycle: 30 Days
Feed Pellet Size: 6-12mm ruminant feed pellet
Workshop size(L*W*H):10m*5m*12m
Main Raw material:Straw, Alfalfa, Husk, corn, soybean meal

Cattle Feed Mill Plant Project Case and Feed Safety Tips
2. 10T/H Ruminant Feed Pellet Line Export To South Africa
Name: cattle feed pellet production line
Country: South Africa
Capacity: 10T/H
Date: March 30th,2018
Installation cycle: 60 Days
Feed Pellet Size: Powder and pellet, pellet size 3mm, 5mm,8mm
Workshop size(L*W*H):16m*8m*12m
Main Raw material:grass, alfalfa , corn, soybean meal
6 Tips to Ensure the Safety of Cow Feed
1. Know the risk factors in the ration
Dairy cows’ diets are remarkably diverse and can include forage, grains, silage, water and byproducts. This diversity requires both nutritional and microbial knowledge to support feed safety. Bacteria, yeasts and moulds can proliferate in various feedstuffs threatening the nutritional quality and compromising the palatability of the feed as well as the food produced. For example, in both anaerobic and especially aerobic conditions, yeast can quickly dominate. As yeast convert sugars into water and carbon dioxide, they increase the pH, allowing harmful bacteria to proliferate. In the meantime, yeast negatively impacts both palatability and the nutritional value of the feed ingredient. Additionally, under aerobic conditions (which occur in the top layer of a silage) moulds can develop and potentially produce mycotoxins harmful to the health and performance of cows.
2. Know the risk factors in the farm environment
In addition to ingredients in the ration, conditions on the dairy farm and in the silage bunks can compromise feed safety. For example, air leaking into the silo can allow harmful bacteria such as E. coli, Salmonella and Listeria to survive, presenting a risk for listeriosis in animals. This condition can lead to septicemia and impaired animal performance. These foodborne bacteria can also make their way into food consumed by people, potentially posing a threat to human health. Other farm factors that can influence feed safety include extreme weather, insect/bird damage, the presence of fungus, and farm management and feeding speed
3. Practice biosecurity and good hygiene
On a dairy farm, faecal material and slurry in pastures are two paths for bacteria to make its way into the food chain. Good biosecurity practices can help protect against pathogen spread on the dairy farm. A few biosecurity practices examples include: requiring workers to change clothing/boots, erecting fencing to keep animals confined, minimising fence line contact with neighbouring animals, and knowing the herd history of any incoming animals.
4. Consider the source
High humidity, temperature and un-seasonal rains during crop growth and harvesting can increase mould prevalence and mycotoxin risk in the dairy diet. For example, weather conditions in 2019, ranging from the heat waves in parts of Europe to excessive rains in the US, have contributed to higher prevalence and concentrations of various mycotoxins in ruminant feed. Knowing the origin of various ingredients and the regional weather conditions during crop growth and storage, can help to evaluate risk for common microbes and mycotoxins. The 2019 Global Crop Assessment conducted by Trouw Nutrition provides data on growing conditions in 38 nations around the globe.
Figure 1 - Contamination percentages and average concentrations of various mycotoxins in silages.
Figure 1 - Maize Silage
Figure 1 - Grass Sliage
5. Measure and evaluate to make timely decisions
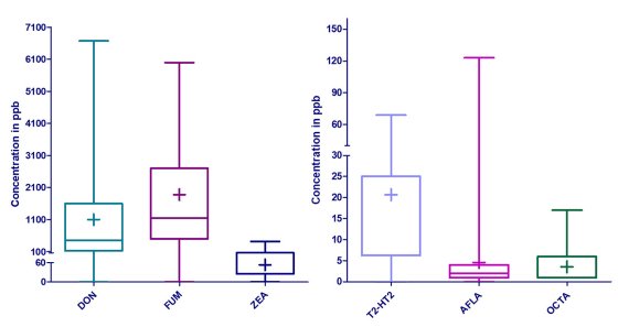
Both the presence and prevalence of microbiological and mycotoxin threats in the ration should be assessed. The 2019 Global Crop Assessment (Figure 1) shows the prevalence of common mycotoxins in 564 silages (maize and grass) collected from around the globe. When compared to practical limits, the data can suggest specific toxicity concerns. For example, Figure 2 shows that levels for Aflatoxin were at the threshold limit of 5ppb, while concentration levels of Deoxynivalenol (DON) were more than twice the practical limits. Rapid analysis of mycotoxins in raw ingredients makes it possible for dairy farmers to make changes in ingredient sourcing or introduce interventions to support feed safety – such as the introduction of hygiene aids on the farm.

Figure 2 - Potential toxicity in ruminant feed.
6. Employ an integrated approach to manage feed safety and mitigate risk
Feed safety demands an integrated approach that considers the entire food production chain. Crops in the field, feed processing at the mill, biosecurity measures during feed transport, and safe storage on the farm all contribute to feed safety. Globalisation and climate change pose additional challenges when it comes to protecting the integrity of feed. With an eye on an increasingly global feed environment, Trouw Nutrition has developed an integrated Feed Safety programme providing a holistic approach to feed management. The NutriOpt Mycotoxin Adviser connects to a global database providing real-time analysis of raw materials and finished feeds and allows farmers to compare their feed ingredients and compound feed with samples collected around the globe. Additional technologies support feed hygiene and production at the mill; and during storage.
It should never be assumed that the presence of mycotoxins in feedstuffs will be addressed further downstream in the production chain. For example, Aflatoxin B1 (AFB1) biotransformation results in a toxic metabolite, AFM1, excreted in milk and this by-product can resist heating processes and pasteurisation of milk. Identifying and addressing the threat as soon as possible is essential to protecting the safety and integrity of food such as milk. As the theme of 2020 World Food Safety Day reminds us, “Food safety is everyone’s business.”
The above is the article for you: Cattle Feed Mill Plant Project Case and Feed Safety Tips. If you are interested in our products or project solutions, please contact us. We will give you the best product quality and the best price. Email: enquiry@pellet-richi.com
Related Product
Production Line Equipment
related News
- >How to Choose Premix for Cattle Feed Manufacturers?
- >Cattle Feed Pellet Machine Solves the Problem of Cattle Feeding in
- >How to Make Cattle Feed Pellets? Is It Good for Cattle to Eat Feed
- >300kg-500kg Beef Cattle Feed Formula and Cattle Feed Pellet Machin
- >Uzbekistan 1-2 T/h Cattle Feed Extruded Line and 1 T/H Floating Fi
- >The Role of Alfalfa in the Production Line of Cattle Feed Pellets
- >What Are the Classifications of Cattle Feed Produced by the Cattle
- >Cattle Feed Pellet Machine: How to make cattle feed? Cattle feed f
- >What Feed Does the Cattle Eat and What Feed Can the Cattle Feed Pe
- >How Much is the Price of a 5-6 Tons/hour Cattle Feed Pellet Making
Here you can submit any questions and we will get back to you as soon as possible. We will not disclose the information you submit to anyone, please rest assured.
Copyright© 2022 Richi Machinery. All rights reserved. Site Map









Product Center
Get Latest Price